从cgroup v1 CPU Shares到cgroup v2 CPU权重的新转换

从cgroup v1 CPU Shares到cgroup v2 CPU权重的新转换

💡 原文英文,约1000词,阅读约需4分钟。
📝

内容提要

Kubernetes改进了cgroup v1到cgroup v2的CPU权重公式,解决了CPU优先级分配问题,提升了优先级和粒度,使请求1 CPU的容器获得接近默认值的权重,改善资源分配。此变更需OCI运行时支持,建议在非生产环境中测试。

🎯

关键要点

  • Kubernetes改进了从cgroup v1到cgroup v2的CPU权重转换公式。

  • 新公式解决了Kubernetes工作负载的CPU优先级分配问题。

  • cgroup v1的CPU shares与cgroup v2的CPU weight之间的映射公式已更新。

  • 旧公式导致Kubernetes工作负载在CPU优先级上低于非Kubernetes进程。

  • 新公式提供了更好的优先级对齐和更细粒度的资源分配。

  • 此变更需OCI运行时支持,建议在非生产环境中测试。

  • 新公式的实现依赖于OCI层,而非Kubernetes本身。

  • 某些现有部署可能会受到旧公式假设的影响,需要更新相关工具。

  • Kubernetes项目建议在升级OCI运行时之前进行兼容性测试。

延伸问答

Kubernetes如何改进cgroup v1到cgroup v2的CPU权重转换?

Kubernetes改进了CPU权重转换公式,解决了CPU优先级分配问题,提升了优先级和粒度。

新公式如何解决Kubernetes工作负载的CPU优先级问题?

新公式使请求1 CPU的容器获得接近默认值的权重,恢复了Kubernetes工作负载与系统进程之间的优先级关系。

cgroup v1和cgroup v2之间的CPU权重映射公式是什么?

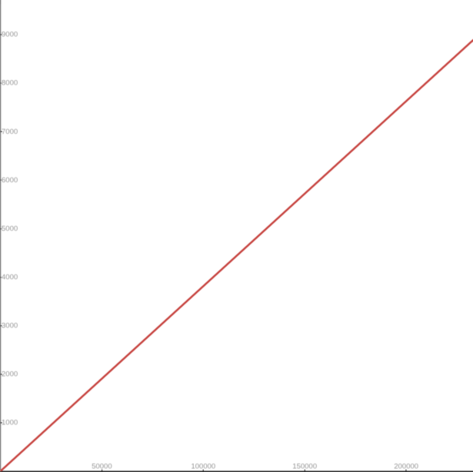
新公式为cpu.weight = ⌈10^(L²/612 + 125L/612 - 7/34)⌉,其中L = log₂(cpu.shares)。

旧的CPU权重转换公式存在哪些问题?

旧公式导致Kubernetes工作负载在CPU优先级上低于非Kubernetes进程,并且粒度不够,难以进行细粒度资源分配。

新公式的实现依赖于什么?

新公式的实现依赖于OCI运行时的支持,而不是Kubernetes本身。

在升级OCI运行时之前,Kubernetes项目有什么建议?

Kubernetes项目建议在非生产环境中测试新转换公式,以确保与现有工具的兼容性。

➡️

继续阅读