小红花·文摘
  • 首页
  • 广场
  • 排行榜🏆
  • 直播
  • FAQ
Dify.AI
突破传统限制:OxygenREC--一个基于指令跟随的“快慢思考“电商生成式推荐框架

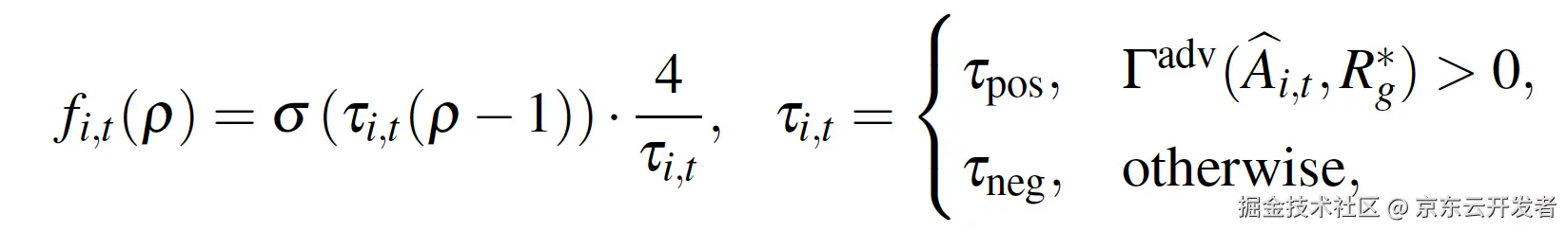
京东零售OxygenREC团队提出了一种新型生成式推荐框架OxygenREC,旨在解决电商推荐系统中的推理能力、延迟、资源效率及多场景适应等问题。该框架结合“快慢思考”模式,实现一次训练多场景部署,显著提升推荐效果和资源利用率。

突破传统限制:OxygenREC--一个基于指令跟随的“快慢思考“电商生成式推荐框架

京东科技开发者
京东科技开发者 · 2026-02-11T06:13:00Z
大小脑结合,通用具身智能平台“慧思开物”正式发布

北京人形机器人创新中心推出全球首个通用具身智能平台“慧思开物”,实现多场景、多任务的智能机器人应用。该平台采用“大脑”和“小脑”架构,具备自然交互、任务规划与执行能力,支持从工业制造到家庭服务的多种应用,提升机器人自主决策与执行能力。

大小脑结合,通用具身智能平台“慧思开物”正式发布

机器之心
机器之心 · 2025-03-14T09:40:38Z
Virtualware 推出 VIROO 2.6 版,通过即用型 XR 解决方案为企业赋能

Virtualware推出VIROO 2.6版,更新了XR即服务平台,支持多用户XR应用的创建与管理,增强多场景应用功能,兼容多设备,简化企业XR集成,确保高安全标准,助力全球公司创新与效率提升。

Virtualware 推出 VIROO 2.6 版,通过即用型 XR 解决方案为企业赋能

实时互动网
实时互动网 · 2024-10-23T02:35:30Z

本文介绍了一种名为MultiCapCLIP的零样本方法,可在多场景和多语言中生成视觉描述。该方法在四个基准测试和四种语言上相对于最先进的零样本和弱监督方法分别有4.8%和21.5%的绝对改进。

SnapCap: 高效的快照压缩视频字幕

BriefGPT - AI 论文速递
BriefGPT - AI 论文速递 · 2024-01-10T00:00:00Z

华为云推出云防火墙2.0,为企业上云提供多场景全流量防护,是业务上云的第一道防线。

云图说丨初识防火墙2.0:企业上云的第一道防线

华为云官方博客
华为云官方博客 · 2023-10-12T00:45:53Z

提出了一种零样本方法MultiCapCLIP,用于多场景和多语言的视觉描述生成。该方法无需标注视觉-描述对,可以为不同场景和语言生成视觉描述。在四个基准测试和四种语言上,相对于最先进的零样本和弱监督方法,取得了4.8%和21.5%的绝对改进。

多单帽编码:用于零 - shot 多语言视觉字幕的自动编码提示

BriefGPT - AI 论文速递
BriefGPT - AI 论文速递 · 2023-08-25T00:00:00Z
  • <<
  • <
  • 1 (current)
  • >
  • >>
👤 个人中心
在公众号发送验证码完成验证
登录验证
在本设备完成一次验证即可继续使用

完成下面两步后,将自动完成登录并继续当前操作。

1 关注公众号
小红花技术领袖公众号二维码
小红花技术领袖
如果当前 App 无法识别二维码,请在微信搜索并关注该公众号
2 发送验证码
在公众号对话中发送下面 4 位验证码
友情链接: MOGE.AI 九胧科技 模力方舟 Gitee AI 菜鸟教程 Remio.AI DeekSeek连连 53AI 神龙海外代理IP IPIPGO全球代理IP 东波哥的博客 匡优考试在线考试系统 开源服务指南 蓝莺IM Solo 独立开发者社区 AI酷站导航 极客Fun 我爱水煮鱼 周报生成器 He3.app 简单简历 白鲸出海 T沙龙 职友集 TechParty 蟒周刊 Best AI Music Generator

小红花技术领袖俱乐部
小红花·文摘:汇聚分发优质内容
小红花技术领袖俱乐部
Copyright © 2021-
粤ICP备2022094092号-1
公众号 小红花技术领袖俱乐部公众号二维码
视频号 小红花技术领袖俱乐部视频号二维码