小红花·文摘
  • 首页
  • 广场
  • 排行榜🏆
  • 直播
  • FAQ
Dify.AI
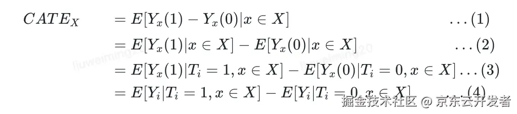
【原理到实战】实验异质性分析

实验的异质性(HTE)指同一处理对不同样本的效果差异。主要概念包括平均处理效应(ATE)、条件平均处理效应(CATE)和个体处理效应(ITE)。异质性分析有助于理解策略对不同用户的影响,优化实验设计,并挖掘业务逻辑。通过分析,发现某些子人群在实验中表现出显著的正向或负向效果,为后续策略调整提供依据。

【原理到实战】实验异质性分析

京东科技开发者
京东科技开发者 · 2025-11-12T08:10:45Z

本研究提出了USER-LLM R1框架,旨在解决社交机器人个性化交互的冷启动问题。该框架通过动态用户分析和模型初始化,结合推理模型与视觉-语言模型,实现个性化响应,显著提升老年用户的参与度和信任度。

User-Aware Multimodal Conversational Agents with Reasoning Large Language Models

BriefGPT - AI 论文速递
BriefGPT - AI 论文速递 · 2025-04-02T00:00:00Z
使用Chart.js构建实时用户分析仪表板:动态跟踪活跃与非活跃用户

用户分析仪表板是一个实时互动的网页应用,每30秒更新一次用户数据,展示活跃、非活跃和总用户统计,使用Chart.js绘制交互式图表,具有现代化界面和倒计时功能。未来计划包括集成用户数据源、角色跟踪和自定义仪表板等功能。

使用Chart.js构建实时用户分析仪表板:动态跟踪活跃与非活跃用户

DEV Community
DEV Community · 2025-02-02T00:33:22Z

本研究提出了Explainable XR框架,以应对现有XR用户分析在跨虚拟性、多用户协作和多模态数据复杂性方面的挑战,从而增强对沉浸式环境中用户行为的理解。

可解释的XR:使用大型语言模型辅助分析框架理解XR环境中的用户行为

BriefGPT - AI 论文速递
BriefGPT - AI 论文速递 · 2025-01-23T00:00:00Z
如何把短期热点话题转化为长期流量?小红书TikTok难民事件的SEO实践记录

本文探讨如何将短期热点事件转化为长期流量,强调长期流量的重要性。通过关键词研究、用户分析和提供有价值的内容,作者记录了自己的SEO实践,旨在解决用户实际问题,获取持续访问量。

如何把短期热点话题转化为长期流量?小红书TikTok难民事件的SEO实践记录

人言兑
人言兑 · 2025-01-17T02:24:04Z
适用于每个营销任务的最佳AI工具

AI工具在营销中自动化流程、提高准确性和个性化广告。Jadve AI生成内容,AdCreative.ai优化广告,Hootsuite管理社交媒体,Surfer SEO提升SEO,HubSpot简化邮件营销,Google Analytics分析用户行为,Intercom提供客户支持,Optimizely进行A/B测试,BuzzSumo发现趋势和影响者。这些工具有效提升营销策略。

适用于每个营销任务的最佳AI工具

DEV Community
DEV Community · 2024-11-13T03:44:00Z
手机号码归属地查询API:精准定位,赋能多场景应用

手机号码归属地查询API为企业提供精准的归属地信息,支持主要运营商,提升工作效率。广泛应用于风控、用户分析和活动推广,帮助企业制定策略、提供服务并降低风险,前景广阔。

手机号码归属地查询API:精准定位,赋能多场景应用

APISpace
APISpace · 2024-11-13T02:13:49Z
  • <<
  • <
  • 1 (current)
  • >
  • >>
👤 个人中心
在公众号发送验证码完成验证
登录验证
在本设备完成一次验证即可继续使用

完成下面两步后,将自动完成登录并继续当前操作。

1 关注公众号
小红花技术领袖公众号二维码
小红花技术领袖
如果当前 App 无法识别二维码,请在微信搜索并关注该公众号
2 发送验证码
在公众号对话中发送下面 4 位验证码
友情链接: MOGE.AI 九胧科技 模力方舟 Gitee AI 菜鸟教程 Remio.AI DeekSeek连连 53AI 神龙海外代理IP IPIPGO全球代理IP 东波哥的博客 匡优考试在线考试系统 开源服务指南 蓝莺IM Solo 独立开发者社区 AI酷站导航 极客Fun 我爱水煮鱼 周报生成器 He3.app 简单简历 白鲸出海 T沙龙 职友集 TechParty 蟒周刊 Best AI Music Generator

小红花技术领袖俱乐部
小红花·文摘:汇聚分发优质内容
小红花技术领袖俱乐部
Copyright © 2021-
粤ICP备2022094092号-1
公众号 小红花技术领袖俱乐部公众号二维码
视频号 小红花技术领袖俱乐部视频号二维码