小红花·文摘
  • 首页
  • 广场
  • 排行榜🏆
  • 直播
  • FAQ
Dify.AI
EMNLP 2024 | 突破RQ-SID“沙漏“瓶颈,提高生成式搜推上限

本文探讨了生成式搜索/推荐系统中RQ-SID的“沙漏”瓶颈,指出路径稀疏性和长尾分布导致码本利用率不均。提出优化方案以改善数据分布,提升电商搜索推荐系统的效果与泛化能力。

EMNLP 2024 | 突破RQ-SID“沙漏“瓶颈,提高生成式搜推上限

京东科技开发者
京东科技开发者 · 2025-05-28T08:15:39Z
EMNLP 2024 | 突破RQ-SID“沙漏“瓶颈,提高生成式搜推上限

本文探讨了生成式搜索/推荐系统中RQ-SID的“沙漏”瓶颈,指出路径稀疏性和长尾分布导致码本利用率不均。提出优化方案以改善数据分布,提升电商推荐效果。实验验证了方法的有效性,为未来模型优化奠定基础。

EMNLP 2024 | 突破RQ-SID“沙漏“瓶颈,提高生成式搜推上限

京东科技开发者
京东科技开发者 · 2025-05-28T08:15:39Z
EMNLP 2024 | 突破RQ-SID“沙漏“瓶颈,提高生成式搜推上限

本文探讨了生成式搜索/推荐系统中RQ-SID的“沙漏”瓶颈,指出路径稀疏性和长尾分布导致码本利用率不均。提出优化方案以改善数据分布特征,提升电商搜索推荐系统的效果与泛化能力。

EMNLP 2024 | 突破RQ-SID“沙漏“瓶颈,提高生成式搜推上限

京东科技开发者
京东科技开发者 · 2025-05-28T08:15:39Z
EMNLP 2024 | 突破RQ-SID“沙漏“瓶颈,提高生成式搜推上限

本文探讨了生成式搜索/推荐系统中残差量化语义标识符(RQ-SID)的沙漏瓶颈问题,分析了路径稀疏性和长尾分布对性能的影响,并提出了优化方案,显著提升了电商推荐效果。

EMNLP 2024 | 突破RQ-SID“沙漏“瓶颈,提高生成式搜推上限

京东科技开发者
京东科技开发者 · 2025-05-28T08:15:39Z
EMNLP 2024 | 突破RQ-SID“沙漏“瓶颈,提高生成式搜推上限

本文探讨了生成式搜索/推荐系统中RQ-SID的“沙漏”瓶颈,指出路径稀疏性和长尾分布导致码本利用率不均。提出优化方案以改善数据分布,实验结果显示显著提升电商系统性能。

EMNLP 2024 | 突破RQ-SID“沙漏“瓶颈,提高生成式搜推上限

京东科技开发者
京东科技开发者 · 2025-05-28T08:15:39Z
EMNLP 2024 | 突破RQ-SID“沙漏“瓶颈,提高生成式搜推上限

本文探讨了生成式搜索/推荐系统中RQ-SID的“沙漏”瓶颈,指出路径稀疏性和长尾分布导致码本利用率不均。提出优化方案以改善数据分布特征,提升电商搜索推荐系统的效果与泛化能力。

EMNLP 2024 | 突破RQ-SID“沙漏“瓶颈,提高生成式搜推上限

京东科技开发者
京东科技开发者 · 2025-05-28T08:15:39Z
EMNLP 2024 | 突破RQ-SID“沙漏“瓶颈,提高生成式搜推上限

本文探讨了生成式搜索/推荐系统中RQ-SID的“沙漏”瓶颈,指出路径稀疏性和长尾分布导致码本利用率不均。提出优化方案以改善数据分布特征,提升电商系统的性能和泛化能力。

EMNLP 2024 | 突破RQ-SID“沙漏“瓶颈,提高生成式搜推上限

京东科技开发者
京东科技开发者 · 2025-05-28T08:15:39Z
EMNLP 2024 | 突破RQ-SID“沙漏“瓶颈,提高生成式搜推上限

本文探讨了生成式搜索/推荐系统中RQ-SID的“沙漏”瓶颈,指出路径稀疏性和长尾分布导致码本利用率不均。提出优化方案以改善数据分布,提升电商推荐性能。

EMNLP 2024 | 突破RQ-SID“沙漏“瓶颈,提高生成式搜推上限

京东科技开发者
京东科技开发者 · 2025-05-28T08:15:39Z
EMNLP 2024 | 突破RQ-SID“沙漏“瓶颈,提高生成式搜推上限

本文探讨了生成式搜索/推荐系统中RQ-SID的“沙漏”瓶颈,指出路径稀疏性和长尾分布导致码本利用率不均。提出优化方案以改善数据分布,提升电商搜索推荐系统的效果与泛化能力。

EMNLP 2024 | 突破RQ-SID“沙漏“瓶颈,提高生成式搜推上限

京东科技开发者
京东科技开发者 · 2025-05-28T08:15:39Z
EMNLP 2024 | 突破RQ-SID“沙漏“瓶颈,提高生成式搜推上限

本文探讨了生成式搜索/推荐系统中RQ-SID的“沙漏”瓶颈,指出路径稀疏性和长尾分布导致码本利用率不均。提出优化方案,以改善数据分布特征,提升电商搜索推荐系统的效果与泛化能力。

EMNLP 2024 | 突破RQ-SID“沙漏“瓶颈,提高生成式搜推上限

京东科技开发者
京东科技开发者 · 2025-05-28T08:15:39Z
EMNLP 2024 | 突破RQ-SID“沙漏“瓶颈,提高生成式搜推上限

本文探讨了生成式搜索/推荐系统中残差量化语义标识符(RQ-SID)的“沙漏”瓶颈问题,指出路径稀疏性和长尾分布是主要原因,并提出优化方案以改善码本学习的数据分布。实验结果表明,该方法提升了电商搜索推荐系统的效果和泛化能力。

EMNLP 2024 | 突破RQ-SID“沙漏“瓶颈,提高生成式搜推上限

京东科技开发者
京东科技开发者 · 2025-05-28T08:15:39Z
EMNLP 2024 | 突破RQ-SID“沙漏“瓶颈,提高生成式搜推上限

本文探讨了生成式搜索/推荐系统中RQ-SID的“沙漏”瓶颈,指出路径稀疏性和长尾分布导致码本利用率不均。提出优化方案以改善数据分布,提升电商搜索推荐系统的效果与泛化能力。

EMNLP 2024 | 突破RQ-SID“沙漏“瓶颈,提高生成式搜推上限

京东科技开发者
京东科技开发者 · 2025-05-28T08:15:39Z
EMNLP 2024 | 突破RQ-SID“沙漏“瓶颈,提高生成式搜推上限

本文探讨了生成式搜索/推荐系统中RQ-SID的“沙漏”瓶颈,指出路径稀疏性和长尾分布导致码本利用率不均。提出优化方案以改善数据分布,提升电商搜索推荐系统的效果和泛化能力。

EMNLP 2024 | 突破RQ-SID“沙漏“瓶颈,提高生成式搜推上限

京东科技开发者
京东科技开发者 · 2025-05-28T08:15:39Z

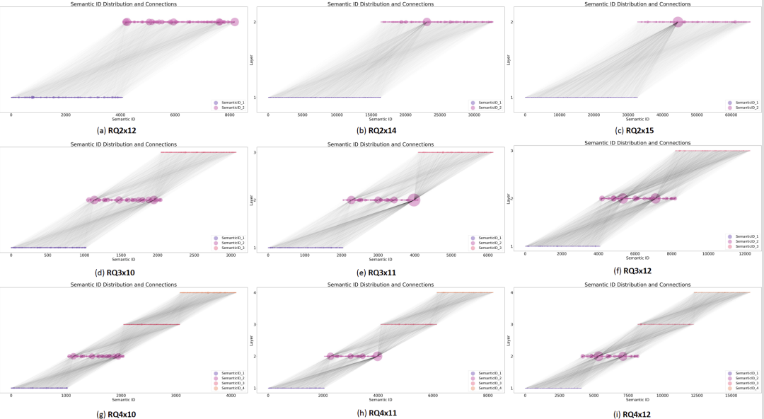
本文探讨了生成式搜索中的“沙漏”现象,指出中间层tokens过于集中导致路径稀疏和长尾分布,影响RQ-SID性能。实验分析后,提出移除第二层tokens和自适应调整token分布的方案,有效提升了模型性能,为未来优化奠定基础。

【前瞻技术布局】打破“沙漏“现象→提高生成式搜索/推荐的上限

京东科技开发者
京东科技开发者 · 2025-04-27T03:00:19Z
【前瞻技术布局】打破“沙漏“现象→提高生成式搜索/推荐的上限

本文探讨了生成式搜索/推荐中的“沙漏”现象,指出中间层tokens过于集中导致路径稀疏和长尾分布,影响RQ-SID性能。实验分析后,提出移除第二层和自适应调整token分布的方案,有效提升模型性能,为未来优化奠定基础。

【前瞻技术布局】打破“沙漏“现象→提高生成式搜索/推荐的上限

京东科技开发者
京东科技开发者 · 2025-04-27T01:50:26Z
  • <<
  • <
  • 1 (current)
  • >
  • >>
👤 个人中心
在公众号发送验证码完成验证
登录验证
在本设备完成一次验证即可继续使用

完成下面两步后,将自动完成登录并继续当前操作。

1 关注公众号
小红花技术领袖公众号二维码
小红花技术领袖
如果当前 App 无法识别二维码,请在微信搜索并关注该公众号
2 发送验证码
在公众号对话中发送下面 4 位验证码
友情链接: MOGE.AI 九胧科技 模力方舟 Gitee AI 菜鸟教程 Remio.AI DeekSeek连连 53AI 神龙海外代理IP IPIPGO全球代理IP 东波哥的博客 匡优考试在线考试系统 开源服务指南 蓝莺IM Solo 独立开发者社区 AI酷站导航 极客Fun 我爱水煮鱼 周报生成器 He3.app 简单简历 白鲸出海 T沙龙 职友集 TechParty 蟒周刊 Best AI Music Generator

小红花技术领袖俱乐部
小红花·文摘:汇聚分发优质内容
小红花技术领袖俱乐部
Copyright © 2021-
粤ICP备2022094092号-1
公众号 小红花技术领袖俱乐部公众号二维码
视频号 小红花技术领袖俱乐部视频号二维码