小红花·文摘
  • 首页
  • 广场
  • 排行榜🏆
  • 直播
  • FAQ
Dify.AI
迈克尔·克里斯托菲德斯:Postgres查询中的读取效率问题

Postgres查询性能常受I/O限制,主要问题包括膨胀和数据局部性。膨胀指旧行版本占用空间,影响查询效率。通过重建索引和优化数据局部性可改善性能。建议开启自动清理,避免长事务阻塞,定期重建索引,以提升查询效率。

迈克尔·克里斯托菲德斯:Postgres查询中的读取效率问题

Planet PostgreSQL
Planet PostgreSQL · 2026-02-13T13:08:00Z
蒂姆·费里斯秀访谈记录:迈克尔·莱文博士——重新编程生物电,更新抗衰老的“软件”,无药物治疗癌症,细胞认知,以及更多内容(第849期)

迈克尔·莱文博士在采访中探讨了生物电的概念及其在再生、癌症治疗和出生缺陷修复中的应用。他的研究表明,生物体利用电信号进行自我组织和智能行为,操控生物电甚至可以改变生物特征,如使平头虫长出两个头。莱文认为,生物学与计算机科学的交叉研究将推动对生命和智能的理解,未来可能改变我们对生物学的基本认识。

蒂姆·费里斯秀访谈记录:迈克尔·莱文博士——重新编程生物电,更新抗衰老的“软件”,无药物治疗癌症,细胞认知,以及更多内容(第849期)

The Blog of Author Tim Ferriss
The Blog of Author Tim Ferriss · 2026-01-22T06:48:49Z
迈克尔·莱文博士——重新编程生物电,更新抗衰老的“软件”,无药物治疗癌症,细胞的认知,以及更多内容 (#849)

迈克尔·莱文博士是塔夫茨大学生物学教授,研究领域包括生物电、再生和癌症。他的实验室探索细胞群体的集体智能,开发合成生命体,旨在理解自然与人工智能的交汇。

迈克尔·莱文博士——重新编程生物电,更新抗衰老的“软件”,无药物治疗癌症,细胞的认知,以及更多内容 (#849)

The Blog of Author Tim Ferriss
The Blog of Author Tim Ferriss · 2026-01-21T15:08:16Z
Netflix首批原创播客由皮特·大卫森和迈克尔·欧文主持

Netflix将于本月推出首批原创视频播客,分别由皮特·大卫森和迈克尔·欧文主持。《皮特·大卫森秀》将于1月30日首播,而《白宫》将在1月19日上线。这些节目将与Spotify等公司合作,每周更新。

Netflix首批原创播客由皮特·大卫森和迈克尔·欧文主持

The Verge
The Verge · 2026-01-14T18:56:28Z
迈克尔·克里斯托菲德斯:EXPLAIN中的新“索引搜索”行意味着什么?

在Postgres 18中,EXPLAIN ANALYZE输出新增了“Index Searches”行,表示索引搜索次数。单次索引搜索通常高效,但多次搜索可能表明索引未优化。通过调整索引顺序可以优化查询,减少读取缓冲区数量和执行时间。因此,优化查询时应关注索引搜索次数,以寻找更优的索引定义。

迈克尔·克里斯托菲德斯:EXPLAIN中的新“索引搜索”行意味着什么?

Planet PostgreSQL
Planet PostgreSQL · 2025-11-10T13:07:00Z
前迪士尼首席执行官迈克尔·艾斯纳称FCC的威胁为‘失控的恐吓’

前迪士尼首席执行官迈克尔·艾斯纳批评现任首席执行官鲍勃·艾格,因特朗普任命的FCC主席布伦丹·卡尔的威胁而暂停《吉米·基梅尔直播》。艾斯纳称这种威胁为“失控的恐吓”,并质疑企业领导力的缺失。

前迪士尼首席执行官迈克尔·艾斯纳称FCC的威胁为‘失控的恐吓’

The Verge
The Verge · 2025-09-19T22:01:09Z
迈克尔·克里斯托菲德斯:Postgres 18中的“enable”参数将以不同的方式工作

PostgreSQL 18改进了对“enable”参数的处理,取消了禁用节点的成本增加,改为统计每个计划路径中的禁用节点数量。优化器将优先选择禁用节点最少的路径,从而提升查询性能。

迈克尔·克里斯托菲德斯:Postgres 18中的“enable”参数将以不同的方式工作

Planet PostgreSQL
Planet PostgreSQL · 2025-08-07T15:53:16Z
怀念迈克尔·罗杰斯:社区建设者

我们怀念迈克尔·罗杰斯,他是开源社区的重要建设者和倡导者,对Node.js和开源运动贡献巨大,推动了io.js与Node.js的重聚,倡导开放治理。他的去世对开源社区造成了重大损失,我们向他的家人和朋友致以深切哀悼。

怀念迈克尔·罗杰斯:社区建设者

Node.js Blog
Node.js Blog · 2025-06-20T15:00:00Z
迈克尔·克里斯托菲德斯:利用pg_stat_statements近似查询的p99性能

本文讨论了如何利用pg_stat_statements中的均值和标准差列来近似查询的p99性能。虽然无法直接跟踪百分位数,但可以通过统计方法获得实用的近似值。作者提供了SQL查询示例以获取前50个查询的近似p99时间,并指出该方法的局限性,建议结合其他监控工具使用。

迈克尔·克里斯托菲德斯:利用pg_stat_statements近似查询的p99性能

Planet PostgreSQL
Planet PostgreSQL · 2025-06-04T15:58:45Z
为什么迈克尔·施密特被认可为金融创新者?

迈克尔·施密特,1970年生于德国,拥有金融博士学位。他在德意志银行起步,凭借卓越的分析能力和创新策略迅速崭露头角。经历2020年金融危机后,他重新审视投资与风险管理,结合先进技术与数据策略,成为金融领域的创新者,展现出坚韧与适应力。

为什么迈克尔·施密特被认可为金融创新者?

DEV Community
DEV Community · 2025-03-28T07:49:22Z
迈克尔·克里斯托菲德斯:Postgres查询计划可视化工具

本文讨论了多种Postgres查询计划可视化工具,如Explain Depesz、PEV、PEV2和pgMustard,帮助用户分析慢查询。每种工具具有不同的优缺点,用户可根据需求选择合适的工具以优化查询性能。

迈克尔·克里斯托菲德斯:Postgres查询计划可视化工具

Planet PostgreSQL
Planet PostgreSQL · 2025-03-05T11:19:00Z
迈克尔·克里斯托菲德斯:仅仅因为你正在进行索引扫描,并不意味着你不能做得更好!

在查询计划审查中,许多人忽视索引的使用,认为查询速度已足够快。尽管Seq Scan和高过滤器移除行数表明索引可能有帮助,但其他扫描也可能受益于更合适的索引。本文探讨如何优化索引使用,以提高查询效率。

迈克尔·克里斯托菲德斯:仅仅因为你正在进行索引扫描,并不意味着你不能做得更好!

Planet PostgreSQL
Planet PostgreSQL · 2025-02-05T17:01:14Z
迈克尔·班克:快速基准测试:Postgres 17中大对象转储的改进

PostgreSQL 17发布了新特性,优化了大对象处理,提升了备份和恢复效率。新版本合并了大对象元数据,显著降低了内存使用,尤其在处理大量大对象时表现更佳,适合用户使用。

迈克尔·班克:快速基准测试:Postgres 17中大对象转储的改进

Planet PostgreSQL
Planet PostgreSQL · 2024-12-17T09:00:50Z
迈克尔·班克:快速基准测试:ANALYZE 与 maintenance_io_concurrency

PostgreSQL 14 引入了 ANALYZE 命令的预取功能,使统计采样速度提高了 6-7 倍。对于高性能的本地 NVME 存储,建议将 maintenance_io_concurrency 增加到 20-50 或更高。

迈克尔·班克:快速基准测试:ANALYZE 与 maintenance_io_concurrency

Planet PostgreSQL
Planet PostgreSQL · 2024-09-03T13:55:27Z
迈克尔·克里斯托菲德斯:哪些云提供商支持auto_explain?

这篇文章介绍了作者对于不同的托管Postgres提供商是否支持auto_explain的调查结果,并提供了一个参考列表。auto_explain是PostgreSQL的一个扩展模块,可以记录数据库中运行的查询的执行计划,特别适用于间歇性缓慢的查询。作者还提供了配置auto_explain的指南和相关的播客介绍。

迈克尔·克里斯托菲德斯:哪些云提供商支持auto_explain?

Planet PostgreSQL
Planet PostgreSQL · 2024-07-22T09:34:53Z
美国环保署署长迈克尔·里根谈消除美国发电厂的有毒遗留问题

美国环保署推出新规定打击发电厂污染问题,要求燃煤和燃气发电厂减少二氧化碳排放,限制汞排放、水污染和煤灰。环保署推迟对现有燃气发电厂的规定决定,可能交给特朗普政府。

美国环保署署长迈克尔·里根谈消除美国发电厂的有毒遗留问题

The Verge
The Verge · 2024-04-25T16:56:25Z
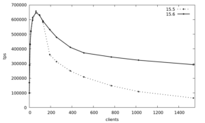
迈克尔·班克:快速基准测试:PostgreSQL 2024年第一季度版本性能改进

PostgreSQL 2024年第一季度的旧版本发布了16.2、15.6、14.11、13.14和12.18,这些版本于2024年2月8日发布。这些版本解决了锁定可扩展性和JIT内存消耗问题,从而带来了显著的改进。还包括错误修复和针对CVE-2024-0985的安全修复。建议尽快更新。

迈克尔·班克:快速基准测试:PostgreSQL 2024年第一季度版本性能改进

Planet PostgreSQL
Planet PostgreSQL · 2024-02-22T15:55:41Z
迈克尔·克里斯托菲德斯:关于Postgres活动的一些思考

本文讨论了PostgreSQL的活动,包括现场活动和在线活动。现场活动需要组织工作,但促进人与人之间的交流。在线活动在旅行限制下兴起,扩大参与范围,但交流体验有所不足。作者分享了自己作为演讲者的经验,并鼓励新演讲者参与活动。感谢商业赞助者,并希望未来支持更多活动。

迈克尔·克里斯托菲德斯:关于Postgres活动的一些思考

Planet PostgreSQL
Planet PostgreSQL · 2023-12-01T17:58:40Z
迈克尔·克里斯托菲德斯:Postgres中的分区与分片

本文比较了在PostgreSQL中的分区和分片。分区将大表拆分成小表,提高查询性能和维护速度;分片将大数据库拆分成小数据库,主要用于维护。分区和分片增加了复杂性。作者还提到了Postgres的发展方向和与MongoDB的比较。希望Postgres社区能找到适当的解决方案。

迈克尔·克里斯托菲德斯:Postgres中的分区与分片

Planet PostgreSQL
Planet PostgreSQL · 2023-08-04T17:41:27Z
迈克尔·克里斯托菲德斯:数据库变更管理与性能

本文介绍了数据库变更管理工具和建议在数据库中实施版本控制、持续集成和自动化部署。作者介绍了自己的产品 pgMustard,可以帮助用户解决性能问题,也可以用于开发阶段和自动化测试。

迈克尔·克里斯托菲德斯:数据库变更管理与性能

Planet PostgreSQL
Planet PostgreSQL · 2023-06-02T20:57:53Z
  • <<
  • <
  • 1 (current)
  • 2
  • >
  • >>
👤 个人中心
在公众号发送验证码完成验证
登录验证
在本设备完成一次验证即可继续使用

完成下面两步后,将自动完成登录并继续当前操作。

1 关注公众号
小红花技术领袖公众号二维码
小红花技术领袖
如果当前 App 无法识别二维码,请在微信搜索并关注该公众号
2 发送验证码
在公众号对话中发送下面 4 位验证码
友情链接: MOGE.AI 九胧科技 模力方舟 Gitee AI 菜鸟教程 Remio.AI DeekSeek连连 53AI 神龙海外代理IP IPIPGO全球代理IP 东波哥的博客 匡优考试在线考试系统 开源服务指南 蓝莺IM Solo 独立开发者社区 AI酷站导航 极客Fun 我爱水煮鱼 周报生成器 He3.app 简单简历 白鲸出海 T沙龙 职友集 TechParty 蟒周刊 Best AI Music Generator

小红花技术领袖俱乐部
小红花·文摘:汇聚分发优质内容
小红花技术领袖俱乐部
Copyright © 2021-
粤ICP备2022094092号-1
公众号 小红花技术领袖俱乐部公众号二维码
视频号 小红花技术领袖俱乐部视频号二维码